jueves, 17 de junio de 2021

20. Ley de los gases reales | 🎈 Química de gases |

[Ciencias de Joseleg] [Química] [La materia] [Química de gases] [Ejercicios resueltos] [Introducción] [Generalidades] [Propiedades de los gases] [Temperatura] [Volumen] [Presión] [Masa y moles] [Historia] [La ley de Boyle] [La ley de Charles] [La ley de Gay-Lussac] [Ley de volúmenes de combinación] [Las leyes de Avogadro] [Ley de los gases ideales PV=nRT] [Modificaciones a PV=nRT] [Ley de Dalton de presiones] [Estequiometría de gases] [Concentración de un gas] [Gases húmedos] [Ley de los gases reales] [Ejercicios especiales] [Referencias bibliográficas


Los gases son sustancias químicas, ¡Pues obvio! ¿Cierto?, pues no es cierto en todo lo que hemos visto de gases hasta el momento. Verán, la mayor parte de la teoría cinética y de las leyes macroscópicas toman a los gases como si fueran partículas físicas "como si fueran esferas inertes", todas iguales, sin identidad química.  De hecho, varios de los postulados básicos de la teoría cinética de los gases se encargan de negar la naturaleza química de las moléculas visualizándolas a todas, sin importar cuales son, como partículas sin identidad química. Entre los postulados que eliminan la visualización química de un gas están, que:

👉 su volumen es despreciable en comparación con los espacios que lo separan con otras moléculas. Esto implica que modelamos las partículas de gases como entes sin volumen propio.

👉 no hay interacciones moleculares entre las moléculas.

Bien, no estamos criticando esto, de hecho, estos postulados nos sirven para describir a cualquier gas real en términos de un solo gas, un gas ideal, que se comporta bajo estos supuestos ideales de la teoría cinética. Pero cabe la pregunta, ¿siempre es del mismo modo?

Figura 201. Johannes Diderik van der Waals. (Leiden, Países Bajos, 23 de noviembre de 1837 - Ámsterdam, 8 de marzo de 1923) fue un profesor universitario y físico neerlandés galardonado con el Premio Nobel de Física en 1910. Es conocido por su trabajo en la ecuación del estado de los gases y los líquidos por el cual ganó el Premio Nobel de Física en 1910.

Historia

La ecuación de Van der Waals es una ecuación de estado termodinámica basada en la teoría de que los fluidos están compuestos de partículas con volúmenes distintos de cero y sujetos a una fuerza de atracción entre partículas (no necesariamente por pares). Se basó en trabajo en química física teórica realizado a fines del siglo XIX por Johannes Diderik van der Waals, quien realizó un trabajo relacionado sobre la fuerza de atracción que también lleva su nombre. Se sabe que la ecuación se basa en un conjunto tradicional de derivaciones que derivan de los esfuerzos de Van der Waals y otros relacionados, así como un conjunto de derivaciones basadas en la termodinámica estadística (Wisniak, 2000).

Los primeros intereses de Van der Waals estaban principalmente en el campo de la termodinámica, donde una primera influencia fue el trabajo publicado de Rudolf Clausius sobre el calor en 1857; otras influencias significativas fueron los escritos de James Clerk Maxwell, Ludwig Boltzmann y Willard Gibbs (Johannes D Van der Waals, 1910). Después de la búsqueda inicial de credenciales docentes, el trabajo de grado de Van der Waals en matemáticas y física en la Universidad de Leiden en los Países Bajos condujo (con obstáculos significativos) a su aceptación para realizar estudios de doctorado en Leiden con Pieter Rijke. Si bien su disertación ayuda a explicar la observación experimental en 1869 por parte del profesor irlandés de química Thomas Andrews (Queen's University Belfast) de la existencia de un punto crítico en los fluidos (Andrews, 1869), el historiador de la ciencia Martin J. Klein afirma que no está claro si Van der Waals estaba al tanto de los resultados de Andrews cuando comenzó su trabajo de doctorado (Klein, 1974). La investigación doctoral de Van der Waals culminó en una disertación de 1873 que proporcionó una teoría semicuantitativa que describe el cambio de estado gas-líquido y el origen de una temperatura crítica, On the Continuity of the Gas- and Liquid-State; fue en esta disertación que aparecieron las primeras derivaciones de lo que ahora llamamos la ecuación de Van der Waals (Johannes Diderik Van der Waals, 1873). James Clerk Maxwell revisó y elogió su contenido publicado en la revista científica británica Nature (Clerk-Maxwell, 1874; Maxwell, 1874), y Van der Waals comenzó un trabajo independiente que resultaría en su recepción del Premio Nobel en 1910, que enfatizó la contribución de su formulación de esta "ecuación de estado para gases y líquidos".

Gases en condiciones extremas

Debido a las interacciones moleculares, las partículas gaseosas reales no chocan de manera perfectamente elástica, y por consiguiente la energía de impacto de la partícula con la pared es menor o mayor, dependiendo de la identidad química de la sustancia. Dado que en la realidad siempre tratamos con sustancias químicas con identidad, entonces siempre tenemos desviaciones del comportamiento ideal, ya que el gas ideal no existe realmente. Sin embargo, a presiones y volúmenes normales, las desviaciones reales son despreciables, y, por lo tanto, al carecer de impacto matemático, normalmente asumimos que el gas ideal es un buen modelo para los gases reales, de allí que es el estado de la materia más fácil de entender.

Figura 202.  Gases reales en condiciones extremas Gráfica de comparación de un gas ideal y varios gases reales en base a la relación presión (eje x) y el producto de PV/RT (eje y).

Las desviaciones significativas del comportamiento ideal ocurren en condiciones de alta presión o baja temperatura, donde las sustancias reales cambian de fase gaseosa a fase acuosa, y las interacciones químicas comienzan a hacerse más importantes.  Pongamos solo un detalle, los gases ideales NUNCA SE LICUAN, y cuando me refiero a eso, es a que pasan de un estado gaseoso a uno líquido. En otras palabras, un gas ideal sigue estando en estado gaseoso por muy infinitamente cerca que se encuentre al cero absoluto o a la presión más aplastante que uno pueda imaginarse. Pero las sustancias químicas no obedecen este patrón, los puntos de fusión funcionan en ambos sentidos, a ciertas temperaturas y presiones cualquier gas cambia de estado.

En resumen, los gases tienden a comportarse idealmente solo a ciertos rangos de temperatura y presión, y por debajo o por encima de ellos, comenzaran a mostrar signos de desviación, si no es que directamente cambiaran a estado líquido, sólido o exóticos. Todo esto se deberá a la capacidad de las moléculas de establecer interacciones moleculares. A mayor cantidad de interacciones o más fuertes estas, el gas se desviará del comportamiento ideal más rápido pasando a estado líquido y/o sólido con mayor facilidad.

Presión límite o crítica

Según la ecuación de los gases ideales, cuando tenemos 1 mol de cualquier gas, el resultado de la división entre PV/RT debe ser igual a 1, sin importar la presión del gas “línea azul en la Figura 20‑2”. Para los gases reales tal comportamiento es verdadero solo a presiones relativamente bajas (menores o iguales a 5 atm). Esto sucede, debido a que a bajas presiones las moléculas químicas de los gases se encuentran lo suficientemente alejadas entre sí, como para que las interacciones moleculares no las afecten, y de ese modo sus choques sean perfectamente elásticos.

Tabla 201. Las constantes a y b son específicas para cada molécula química aquí mostraremos una pequeña extraída de la química de Reimond-Chang. Entre más cercanos a 0 las constantes a y b, el gas que las posee se comportará como un gas ideal.

Sin embargo, cuando incrementamos la presión, nos damos cuenta de que todos los gases reales generan desviaciones del comportamiento ideal demasiado marcados como para no tenerse en

cuenta. Estas desviaciones se explican, nuevamente, debido a que a mayor presión las moléculas se los gases están ya demasiado cerca unas de las otras, y en tales casos, las interacciones intermoleculares empiezan a atraer a las moléculas, impidiendo de este modo que los choques entre estas sean perfectamente elásticos. Si la presión aumenta mucho, el gas cambiará a fase líquida, proceso llamado licuefacción.

Temperatura límite

Recordemos algo, ¿cuál es la temperatura mínima para que la molécula de agua esté en fase gaseosa? Eso es alrededor de 100°C a una atmosfera de presión. Por en sima de esa temperatura, es posible que el agua se comporte como un as ideal, pero por debajo de eso se licua para formar agua líquida. Otro ejemplo, moléculas gaseosas muy comunes con por ejemplo el hidrogeno y el helio, son gases a temperatura ambiente, y a bajas presiones sin duda se comportan como un gas ideal. Pero si bajamos la temperatura, el hidrógeno cambiará a estado líquido a -252.87°C a 1atm de presión. Similarmente el gas de nitrógeno pasará a estado líquido a -195.79°C a 1 atm de presión.

Esto quiere decir que a bajas temperaturas los gases reales rompen su comportamiento ideal, alterando su comportamiento o cambiando a fase líquida. Enfriar un gas disminuye la energía cinética promedio de las moléculas, y al moverse más lento, las interacciones moleculares entre estas comienzan a tener más fuerza relativa, en otras palabras, a menor velocidad el choque deja de ser perfectamente elástico en sentido matemático.

Para estudiar los gases reales de manera adecuada, requerimos modificar la ecuación de los gases ideales, para tomar en cuenta el promedio de la resultante de la atracción ejercida por las interacciones moleculares en volúmenes moleculares finitos. Tal análisis fue hecho en primera instancia por el físico danés J. D. van der Waals en 1873. A pesar de ser matemáticamente simple, la aproximación de Van der Waals al problema nos permite una interpretación de un gas real a nivel molecular.

Ecuación de van der Waals

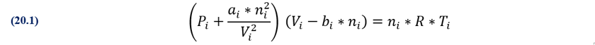
La ecuación de van der Waals (o la ecuación de estado de van der Waals, nombrada en honor a Johannes Diderik van der Waals) se basa en razones verosímiles de que los gases reales no siguen la ley de los gases ideales.

La ley de los gases ideales trata a las moléculas de gas como partículas puntuales que no interactúan excepto en colisiones elásticas. En otras palabras, no ocupan ningún espacio, y no son atraídos o repelidos por otras moléculas de gas. En la fórmula anterior los términos    son constantes específicas que representan las atracciones entre las partículas del gas, y deben buscarse en tablas. Aunque el nombre de la ecuación de Van der Waals dice “reales”, no es tan real como se esperaría, después de todo un modelo matemático no puede representar la verdad absoluta de la realidad, se trata de un modelo más preciso que la fórmula básica.  Del mismo modo, existen otras formas mucho más precisas de las ecuaciones de estado de un gas, cada una al hacerse más precisa se hace más complicada de usar, por suerte en nuestro curso solo deberemos tener en cuenta la ecuación básica y alguno que otro problema con la ecuación de Van der Waals.

Presión de Van der Waals

Consideremos ahora la presión desde la perspectiva de un gas real. Debido a las interacciones moleculares, el choque entre las partículas no es completamente elástico, lo que provoca una pérdida de energía cinética de la partícula que choca contra la pared del contenedor. En otras palabras, los gases reales marcaran una presión menor de la que marcaría un gas ideal. Van der Waals postuló que la presión de un gas ideal está relacionada con la presión ejercida por un gas real bajo la función de presión expresada en la ecuación anterior. Donde (ai) es una constante de proporcionalidad que depende de cada sustancia real i (cada molécula diferente, tendrá un a diferente), (n) es el número de moles y V es el volumen. El término que corrección puede entenderse del siguiente modo.

Las interacciones moleculares que dan lugar a un comportamiento no ideal dependen de que tan frecuentemente dos partículas están lo bastante cerca una de la otra para ejercer mutuamente atracciones intermoleculares, y de la fuerza de las interacciones moleculares que ejerce una molécula específica (ai). La frecuencia de dichos encuentros depende de la cantidad de partículas (N) ubicadas en una región determinada del espacio (V). A mayor cantidad de partículas en un mismo espacio, más probabilidad de que colisionen entre sí. Del mismo modo, mientras menor sea el espacio, mayor será la probabilidad de que la misma cantidad de partículas choquen entre sí.

Volumen de Van der Waals

Cuando incrementamos la presión, la relación entre volumen ocupado y volumen vacío comienza a ser matemáticamente apreciable. Esto se debe a que a muy bajas presiones el volumen vacío es matemáticamente mucho más grande que el volumen que ocupan las moléculas en el espacio, y por lo tanto se desprecia impunemente.

Sin embargo, a bajas presiones, el volumen que ocupan las moléculas empieza a ser matemáticamente efectivo, y en efecto es otra de las causas de las desviaciones del comportamiento ideal de los gases. El volumen que ocupa un gas será igual a una constante que depende de la molécula en cuestión, y de la cantidad de moléculas. El volumen ideal (Todo el espacio del contenedor) será igual al volumen vacío y al volumen ocupado por las moléculas del gas.

 

No hay comentarios:

Publicar un comentario