Para ver directo en YouTube: https://youtu.be/7SDe5qVKxDY
Mas ejercicios resueltos de química sobre del átomo
químico:
https://quimicadejoseleg-lamateria.blogspot.com/2021/06/ejercicios-resueltos-sobre-el-atomo.html
Veremos cómo calcular los gramos de un elemento que se necesitan
para reaccionar completamente con los gramos de otro elemento. Teórica atómica clásica, el
átomo de los químicos.
Esto ya es
estequiometría de reacciones, por lo que deberemos proponer una ecuación
química balanceada para que la cantidad de átomos a ambos lados de la ecuación
sean iguales.
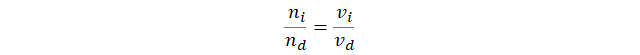
Aplicamos la ley
de radio estequiométrico.
Reemplazamos
cantidad de sustancia por el cociente masa dividido la masa molar.
Despejamos la
masa de la sustancia i-ésima.
Reemplazamos
indicando que la sustancia i-ésima es el yodo molecular y la sustancia d-ésima
es el aluminio.
No olviden
consultar nuestro web “https://cienciasdejoseleg.blogspot.com/2021/08/curso-de-quimica-general.html” parte de nuestra serie de blogs de
#cienciasdejoseleg, donde encontrarán:
Fundamentos teóricos
y referencias bibliográficas del átomo químico:
https://quimicadejoseleg-lamateria.blogspot.com/2021/06/el-atomo-quimico.html
Mas
ejercicios resueltos de química sobre del átomo químico:
https://quimicadejoseleg-lamateria.blogspot.com/2021/06/ejercicios-resueltos-sobre-el-atomo.html
Litas de reproducción
Teoría de #químicadegases
https://www.youtube.com/watch?v=inKrsI1Q62M&list=PL6Meh2AYBnRRPLxFTi8NEhiEHBU41GJYx
Ejercicios de #químicadegases
https://www.youtube.com/watch?v=v-DWhpx3GUM&list=PL6Meh2AYBnRQAcpspGaVZ9f6pxFIaeNtE
Teoría #atómicaclásica
https://www.youtube.com/watch?v=fzmZsq9g0Mo&list=PL6Meh2AYBnRRw6jH4G05yNO1tikzvhRlX
Ejercicios de teoría #atómicaclásica
https://www.youtube.com/watch?v=BIfu580WyXs&list=PL6Meh2AYBnRS_JaSplKJ1EHQ6xyEg8ApS
Teoría de #estequiometría
https://www.youtube.com/watch?v=1gl27UWBY7A&list=PL6Meh2AYBnRRD0snAxc6HmyI1KTviZrk8
Ejercicios resueltos de #estequiometría
https://www.youtube.com/watch?v=RIclbdX0hPs&list=PL6Meh2AYBnRTwQsL2AGlXoL1d9eS3cOfi
Teoría de #disoluciones
https://www.youtube.com/watch?v=hfUROJ11ykE&list=PL6Meh2AYBnRSpJ0h0gdmZWXYeTONl5Q-L
Ejercicios resueltos de #disoluciones
https://www.youtube.com/watch?v=Yt7jK_uvn9U&list=PL6Meh2AYBnRQZJ1Pt-lA162YT4u3sjY4R





No hay comentarios:
Publicar un comentario