Para ver directo en YouTube: https://youtu.be/nMWrUh5my28
Mas
ejercicios resueltos de química sobre del átomo químico:
https://quimicadejoseleg-lamateria.blogspot.com/2021/06/ejercicios-resueltos-sobre-el-atomo.html
Veremos
cómo calcular la fórmula empírica con los gramos de un elemento y los moles de
otro elemento en un compuesto binario. Teórica atómica clásica, el átomo de los
químicos.
Enunciado
completo del ejercicio: (Teoría atómica clásica 1.9, Matamala
y Gonzalez análisis de composición) La fórmula empírica en la que por cada 1,12 g de
nitrógeno entran 0,12 moles de oxígeno atómico (at-gr) es. (a) N2O5
(b) N2O3 (c) NO (d) NO2 (e) N2O
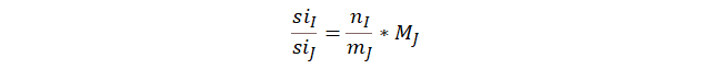
- Comenzamos
la relación número de átomos (NI)
a número de moléculas (Ni)
mediada por el subíndice del elemento en dicha molécula (siI)
- Divido la
ecuación para el segundo elemernto, que al encontrarse en la misma molécula,
nos permite cancelar el número de moléculas.
- El radio
de número de átomos (NI/NJ)
se puede reemplazar por el radio de cantidades de sustancia (nI/nJ).
-
Reemplazamos las cantidades de sustancia del segundo elemento (nJ) por el cociente masa
sobre masa molar respectiva (mJ/MJ).
Tenga en cuenta que la masa molar del segundo elemento al quedar dividiendo a
una división, en realidad está multiplicando.
- Expresamos
la ecuación de manera elegante ya que lo que nos interesa es el cociente de
subpindices.
- Asumimos
que el primer elemento es oxígeno y el segundo elemento es nitrógeno. Por ende,
la masa molar del nitrógeno va a ser su peso atómico expresado en unidades de
g/mol, es decir 14 g/mol.
El cociente de números enteros pequeños que es igual a 1.5 es 3/2, por ende,
el subíndice del oxígeno es 3 y el del nitrógeno es 2, y la fórmula empírica
debe ser N2O3 que concuerda con la opción de respuesta (b)
Suscríbete a nuestro canal
#cienciasdejoseleg:
No olviden
consultar nuestro web
“https://quimicadejoseleg-lamateria.blogspot.com/p/la-materia.html”
parte de
nuestra serie de blogs de #cienciasdejoseleg, donde encontrarán:
Fundamentos
teóricos y referencias bibliográficas del átomo químico:
https://quimicadejoseleg-lamateria.blogspot.com/2021/06/el-atomo-quimico.html
Mas
ejercicios resueltos de química sobre del átomo químico:
https://quimicadejoseleg-lamateria.blogspot.com/2021/06/ejercicios-resueltos-sobre-el-atomo.html
Litas de reproducción
Teoría de química de gases
https://www.youtube.com/watch?v=inKrsI1Q62M&list=PL6Meh2AYBnRRPLxFTi8NEhiEHBU41GJYx
Ejercicios de química de gases
https://www.youtube.com/watch?v=v-DWhpx3GUM&list=PL6Meh2AYBnRQAcpspGaVZ9f6pxFIaeNtE
Teoría atómica clásica
https://www.youtube.com/watch?v=fzmZsq9g0Mo&list=PL6Meh2AYBnRRw6jH4G05yNO1tikzvhRlX
Ejercicios de teoría atómica clásica
https://www.youtube.com/watch?v=BIfu580WyXs&list=PL6Meh2AYBnRS_JaSplKJ1EHQ6xyEg8ApS
Teoría de estequiometría
https://www.youtube.com/watch?v=1gl27UWBY7A&list=PL6Meh2AYBnRRD0snAxc6HmyI1KTviZrk8
Ejercicios resueltos de estequiometría
https://www.youtube.com/watch?v=RIclbdX0hPs&list=PL6Meh2AYBnRTwQsL2AGlXoL1d9eS3cOfi
Teoría de disoluciones
https://www.youtube.com/watch?v=hfUROJ11ykE&list=PL6Meh2AYBnRSpJ0h0gdmZWXYeTONl5Q-L
Ejercicios resueltos de disoluciones
https://www.youtube.com/watch?v=Yt7jK_uvn9U&list=PL6Meh2AYBnRQZJ1Pt-lA162YT4u3sjY4R






No hay comentarios:
Publicar un comentario